欢迎访问定西市岷县陇中卓越培训学校官方网站!

通知公告

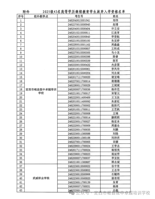
甘肃农业大学关于对2025级43名高等学历继续教育学生做放弃入学资格处理的公示

  • 来源:本站
  • 日期:2025-06-23
  • 浏览:0

各位同学:

2025级43名高等学历继续教育学生未在规定时间内报到,未履行任何请假手续,根据《甘肃农业大学学历继续教育学生学籍管理规定》(甘农大发(2023]82号)第二章第三条规定,拟做放弃入学资格处理,现予以公示(名单见附件),公示时间2025年4月18日至5月18日。公示期内如有异议,学生本人可书面申请取消放弃入学资格处理。

公示网址:https://jxjy.gsau.edu.cn/info/1897/6843.htm


图片

图片


关注我们,获取更多继续教育资讯与学习支持!